Timm Dapper
www.td-grafik.de
Practical Procedural Modeling of Plants
22.01.2003 - Universität Bremen

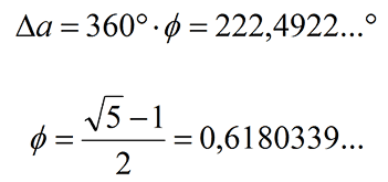
Phyllotaxis after Vogel


Place equally sized organs on a flat disk,
where the i-th organ has polar coordinates:



with